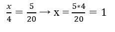
1.- Encuentra el valor de x en la siguiente proporción.

La solución es x = 1 y tenemos que:

2.- Si el papa de Andrea le da 100 pesos por un diez de calificación en matemáticas, cuanto le daría si obtiene 8 de calificación.
Primero expresamos nuestro problema en términos de una proporción directa, ya que el dinero que le da su papa y su calificación están en una relación directa, es decir, si sube una, sube la otra y si baja una, baja la otra.

Con esto tenemos que:

Si Andrea solo obtiene un 8 de calificación, su papa solo le dará 80 pesitos de regalo.
Mas problemas y ejercicios en la guía digital:
Guías Digitales para el examen de la UNAM: todos los temas resueltos y mas de 500 preguntas de simulación
-
Producto en ofertaGuía Desarrollada para el examen de la UNAM 2026 Área 4 de las Humanidades y de las ArtesEl precio original era: $500.00.$350.00El precio actual es: $350.00.
-
Producto en ofertaGuía Desarrollada para el examen de la UNAM 2026 Área 3 de las Ciencias SocialesEl precio original era: $500.00.$350.00El precio actual es: $350.00.
-
Producto en ofertaGuía Desarrollada para el examen de la UNAM 2026 Área 2 de las ciencias Biológicas Químicas y de la SaludEl precio original era: $500.00.$350.00El precio actual es: $350.00.
-
Producto en ofertaGuía Desarrollada para el examen de la UNAM 2026 área 1 de las ciencias Físico Matemáticas y las IngenieríasEl precio original era: $500.00.$350.00El precio actual es: $350.00.



