CONCEPTOS DE CIRCUITOS DE CONDENSADORES
Un condensador también llamado capacitor es un dispositivo capaz de almacenar energía.

Su propiedad llamada capacitancia, es igual a la carga almacenada entre la diferencia de potencial (voltaje).

FORMULA DE LA CAPACITANCIA

UNIDAD DE MEDIDA DE LA CAPACITANCIA
La unidad de medida la capacitancia es el Faradio:

Los condensadores también puedes conectarse de forma paralela o en serie:
CIRCUITO DE CONDENSADORES EN SERIE

PROPIEDADES DE LOS CIRCUITOS DE CONDENSADORES EN SERIE
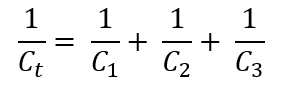
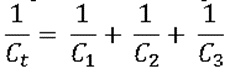
La Capacitancia total es igual a:

La Carga total es constante:
Qt = Q1 = Q2 = Q3
La diferencia de potencial o voltaje total es igual a la suma de los voltajes en cada resistencia.
Vt = V1 + V2 + V3
CIRCUITO DE CONDENSADORES EN PARALELO

PROPIEDADES DE LOS CIRCUITOS DE CONDENSADORES EN PARALELO
La Capacitancia total es igual a la suma de las capacitancias
Ct = C1 + C2 + C3
La Carga total es igual a la suma de las cargas en cada capacitancia:
Qt = Q1 + Q2 + Q3
La diferencia de potencial o voltaje total es constante.
Vt = V1 = V2 = V3
Ejemplos:
1.- Determina la capacitancia total de un circuito en serie de 3 condensadores de 12, 4 y 6 faradios respectivamente
Primero determinamos la formula a utilizar:

Después sustituimos nuestros datos:

Realizamos las operaciones y obtenemos:




