Tema especial para el examen de la Universidad de Guadalajara (UdeG) 2025
En matemáticas y en la vida cotidiana, muchas cantidades están relacionadas: cuando una cambia, la otra también lo hace de cierta manera. A este tipo de relaciones se les llama variaciones.
El estudio de la variación en álgebra permite comprender cómo se relacionan dos o más variables y cómo expresarlas mediante proporciones o ecuaciones.
Definición formal de variación
La variación describe la forma en que una cantidad depende de otra. Si al cambiar una variable, la otra cambia siguiendo una regla definida, decimos que existe una relación de variación.
Ejemplo:
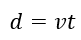
La distancia recorrida (d) varía de forma directa con el tiempo (t) si la velocidad es constante:

Tipos de variación
Variación directa
Una variable aumenta o disminuye en la misma proporción que la otra.

En este caso, y varia en la misma dirección que x:
- y aumenta si x aumenta
- y disminuye si x disminuye
Que tanto aumenta o disminuye, depende de k, que se llama constante de proporcionalidad.
Ejemplo:
El costo (C) de comprar manzanas varía directamente con la cantidad de kilos (x):
- C=kx
- Si 1 kg cuesta 20 pesos, entonces 𝑘 = 20
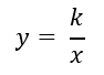
Variación inversa
Cuando una variable aumenta, la otra disminuye en la misma proporción.

En este caso, y varia en la dirección contraria que x:
- y aumenta si x disminuye
- y disminuye si x aumenta
Con que fuerza disminuye o aumenta y, depende también de k (contaste de proporcionalidad)
Ejemplo:
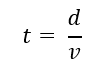
La velocidad promedio (v) y el tiempo (t) que tarda un vehículo en recorrer cierta distancia están relacionados por variación inversa:

- entre mas velocidad tenga, menos tiempo le lleva recorrer la distancia
- entre menos velocidad tenga, mas tiempo le lleva recorrer la distancia
Variación conjunta
Cuando una variable depende de dos o más variables al mismo tiempo.

Ejemplo:
El volumen de un prisma rectangular (V) depende conjuntamente del largo (l), ancho (a) y altura (h):

Variación combinada
Se presenta cuando una variable depende directa e inversamente de diferentes variables en una misma relación.
Ejemplo:
La fuerza de atracción gravitacional (F) entre dos cuerpos de masas m1 y m2, separados por una distancia r, se expresa como:

Aquí, F varía directamente con las masas e inversamente con el cuadrado de la distancia.
Próximo tema según la guía oficial para el examen de la Universidad de Guadalajara (UdeG) 2025:
Aquí puedes ver las guías de estudio desarrolladas para prepararte para el examen de la Universidad de Guadalajara (UdeG):
Guía de matemáticas para el examen de la Universidad de Guadalajara
Prepárate con esta guía desarrollada de matemáticas para el examen de la Universidad de Guadalajara 2025.
- Todos los temas desarrollados con ejercicios y preguntas clave.
- Asesoría personal vía Whatsapp en caso de dudas.





