Tema especifico para el examen de admisión del Instituto Politécnico Nacional (IPN) 2025
¿Qué es una sucesión numérica?
Una sucesión numérica (también llamada progresión numérica) es una lista ordenada de números que siguen una regla de formación (llamado patrón).
Es decir, los números van apareciendo según un patrón.
Ejemplos:

Cada número de la sucesión se llama término y ocupa un lugar determinado dentro de ella.
En la progresión 8, 11, 14, 17, ., el primer término es 8, el segundo término es . . , el tercer término es .4, y así sucesivamente.
Podemos usar un subíndice para denotar determinado termino.
Por ejemplo:

Si n = 2 entonces a2 sería el segundo término.
¿Cómo van creciendo las sucesiones numéricas?
Las sucesiones numéricas van creciendo el numero de sus términos, pero poder ir aumentado el valor de sus términos o pueden ir disminuyendo.
Por ejemplo:
Si aumentan:
4, 8, 12, 16, …
Si disminuyen
9, 6, 3, …
La forma en que aumentan o disminuyen las hace un tipo especial de sucesiones
Clasificación de las Sucesiones Numéricas
A) Sucesión Aritmética
Es aquella en la que cada término se obtiene sumando (o restando) una cantidad constante, llamada diferencia común (d).
Por ejemplo:

Expresión general:

Donde:
- a1 es la termino inicial o anterior
- d es constante que se suma o se resta
Ejemplo:

- an es 5
- d = 3
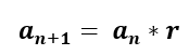
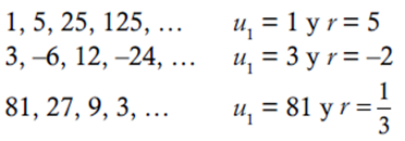
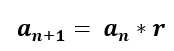
B) Sucesión Geométrica
Es aquella en la que cada término se obtiene multiplicando el anterior por una constante, llamada razón (r).
Expresión general:

Ejemplos:

Sucesiones Especiales
Sucesión de Fibonacci
Cada término se obtiene sumando los dos anteriores.
1, 1, 2, 3, 5, 8,1 3, …
Sucesión de números cuadrados
1, 4, 9, 16, 25, …(n2)
Sucesión de números cúbicos
1, 8, 27, 64, 125, …(n3)
Sucesiones alternadas
Cambian de signo o presentan un patrón que se repite.
Ejemplo:
2, −2, 2, −2, 2, …
Expresión general (formula general)
Las sucesiones numéricas se pueden expresar con una formula general
Por ejemplo:

Con estas fórmulas podemos calcular cualquier término de la sucesión, sin desarrollar todos sus términos
Véase el tema: Expresiones generales de las sucesiones.
Ejercicios de Práctica
1.- Escriba los próximos tres términos de cada progresión.

2.- Escribe los primeros 5 términos de la sucesión aritmética con a1=2 d=5
3.- Determina si la sucesión 1, 2, 4, 8, 16, … es aritmética o geométrica, y escribe su fórmula general.
4.- Identifica la regla de formación de la sucesión: 2, 4, 6, 10, 16, 26, …
Próximo tema como lo marca la guía oficial para el examen del IPN 2025:
También esta disponible la guía de matemáticas para el examen del IPN 2025
Guia desarrollada de Matematicas para el examen del IPN
Prepárate de forma clara y organizada para tu examen al Instituto Politécnico Nacional 2025
Esta guía incluye explicaciones sencillas, ejemplos prácticos y ejercicios resueltos de los temas clave de matemáticas que suelen aparecer en el examen.
Diseñada para estudiantes de preparatoria, te ayudará a reforzar conocimientos, ahorrar tiempo de estudio y aumentar tu confianza el día de la prueba.



