Polinomios

Tema especial para el examen de la Universidad de Guadalajara (UdeG) 2025

Los polinomios son expresiones algebraicas formadas por la suma o resta de términos algebraicos.

Definición formal de polinomio

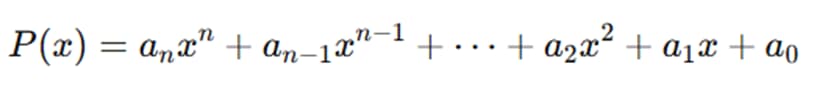
Un polinomio en una variable es una expresión de la forma:

donde:

  • an, an−1, …,a0 son coeficientes (números reales).
  • x es la variable o incógnita.
  • n es un número entero no negativo llamado grado del polinomio.
  • El coeficiente 𝑎𝑛 ≠ 0 y se llama coeficiente principal.
  • El término 𝑎0 se llama término independiente.

Ejemplo:

  • Es un polinomio de grado 4.
  • Coeficiente principal: 3.
  • Término independiente: -7.

Clasificación de polinomios

Los polinomios se pueden clasificar según número de términos y grado.

a) Según el número de términos:

  • Monomio: un solo término (ej. 5x3).
  • Binomio: dos términos (ej. x2 − 9).
  • Trinomio: tres términos (ej. 2x2 + 3x + 1).
  • Polinomio: cuatro o más términos.

b) Según el grado:

  • Polinomio constante: grado 0 (ej. 7).
  • Polinomio lineal: grado 1 (ej. 2x + 5).
  • Polinomio cuadrático: grado 2 (ej. x2 − 3x + 2x).
  • Polinomio cúbico: grado 3 (ej. x3 − 4).
  • Polinomio de grado n: grado mayor a 3.

Operaciones con polinomios

Suma y resta

Se suman o restan términos semejantes (los que tienen la misma variable y exponente).

Ejemplo:

Multiplicación

Se multiplican todos los términos de un polinomio por los del otro, aplicando las leyes de los exponentes.

Ejemplo:

División

Se puede realizar por factorización o mediante el algoritmo de la división larga de polinomios.

Ejemplo:

Valor numérico de un polinomio

El valor numérico se obtiene sustituyendo la variable por un número dado.

Ejemplo:

Si x = 2

Factorización de polinomios

Es el proceso de escribir un polinomio como producto de factores más simples.

Ejemplos:

Raíces de un polinomio

Una raíz de un polinomio P(x) es un número r tal que:

Ejemplo:

Las raíces son x = 2 y x = 3.

Ejercicios de práctica

Próximo tema según la guía oficial para el examen de la Universidad de Guadalajara (UdeG) 2025:

Ecuaciones cuadráticas, racionales y con radicales

Aquí puedes ver las guías de estudio desarrolladas para prepararte para el examen de la Universidad de Guadalajara (UdeG):

Guía de matemáticas para el examen de la Universidad de Guadalajara

El precio original era: $120.00.El precio actual es: $90.00.

Prepárate con esta guía desarrollada de matemáticas para el examen de la Universidad de Guadalajara 2025.

  • Todos los temas desarrollados con ejercicios y preguntas clave.
  • Asesoría personal vía Whatsapp en caso de dudas.
error: Este contenido esta protegido!!