Tema especifico para el examen de admisión del Instituto Politécnico Nacional (IPN) 2025
1.5.1 Resolución de problemas
El pensamiento analítico es la capacidad de observar, descomponer y organizar la información para encontrar soluciones a situaciones planteadas.
En matemáticas, esto implica comprender un problema, plantear estrategias, aplicar procedimientos y verificar resultados.
La resolución de problemas no se limita a operaciones matemáticas, sino que también desarrolla habilidades de razonamiento lógico, toma de decisiones y creatividad.
¿Qué es un problema matemático?
Un problema es una situación que requiere ser resuelta y que no se responde de manera inmediata, sino que exige reflexión, análisis y aplicación de conceptos.
Ejemplo:
“Un tren viaja a 80 km/h durante 2 horas y después a 100 km/h durante 3 horas. ¿Cuál es la distancia total recorrida?”
Este problema exige analizar, organizar la información y aplicar la fórmula de distancia:

Etapas para la resolución de problemas
1 Comprensión del problema
- Identificar qué se pide.
- Reconocer los datos disponibles.
- Traducir la situación a lenguaje matemático.
2 Diseño de un plan
- Pensar en posibles estrategias: operaciones, fórmulas, gráficos, tablas, razonamiento lógico.
- Seleccionar la más adecuada.
3 Ejecución del plan
- Realizar cálculos paso a paso.
- Justificar cada procedimiento.
4 Verificación de la solución
- Comprobar si la respuesta es coherente.
- Revisar unidades y condiciones del problema.
- Reflexionar sobre si hay otra manera de resolverlo.
Ejemplos resueltos
Ejemplo 1: Problema de aritmética
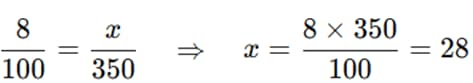
Un automóvil consume 8 litros de gasolina cada 100 km. ¿Cuántos litros necesitará para recorrer 350 km?
Solución:
- Comprensión: se pide el consumo de gasolina en 350 km.
- Plan: usar una regla de tres.
- 100 km → 8 L
- 350 km → ? L
- Ejecución:

Verificación: al aumentar la distancia, aumenta el consumo. Respuesta coherente.
Respuesta: Necesita 28 litros.
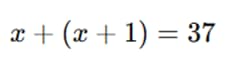
Ejemplo 2: Problema algebraico
La suma de dos números consecutivos es 37. ¿Cuáles son esos números?
Solución:
- Comprensión: buscar dos números consecutivos cuya suma sea 37.
- Plan: usar una ecuación.
- Sea xxx el primer número, el siguiente es x+1x+1x+1.
- Planteamos:

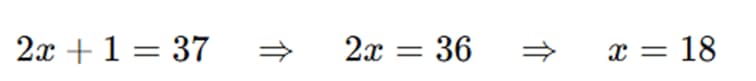
Ejecución:

- Entonces los números son 18 y 19.
- Verificación: 18+19=37, correcto.
Respuesta: Los números son 18 y 19.
Ejemplo 3: Problema de geometría
Un rectángulo mide 12 cm de largo y 8 cm de ancho. ¿Cuál es su área?
Solución:
- Comprensión: se pide el área de un rectángulo.
- Plan: usar la fórmula A = base × altura
- Ejecución: A=12 × 8= 96 cm2
- Verificación: correcto, el área debe expresarse en unidades cuadradas.
Respuesta: El área es 96 cm².
Próximo tema como lo marca la guía oficial para el examen del IPN 2025:
Números reales
También esta disponible la guía de matemáticas para el examen del IPN 2025
Guia desarrollada de Matematicas para el examen del IPN
Prepárate de forma clara y organizada para tu examen al Instituto Politécnico Nacional 2025
Esta guía incluye explicaciones sencillas, ejemplos prácticos y ejercicios resueltos de los temas clave de matemáticas que suelen aparecer en el examen.
Diseñada para estudiantes de preparatoria, te ayudará a reforzar conocimientos, ahorrar tiempo de estudio y aumentar tu confianza el día de la prueba.
