Tema especifico para el examen de admisión del Instituto Politécnico Nacional (IPN) 2025
En estadística no basta con conocer las medidas de tendencia central (media, mediana y moda), ya que ellas solo indican el centro de los datos. Es igualmente importante saber qué tan dispersos o agrupados están esos datos alrededor del centro.
Las medidas de dispersión son valores numéricos que indican el grado de variabilidad o dispersión de un conjunto de datos.
👉 En resumen: nos dicen si los datos están muy concentrados o muy separados entre sí.
Principales medidas de dispersión
Rango (R)
Es la medida más sencilla de dispersión.
Indica la diferencia entre el valor mayor y el menor de un conjunto de datos.

📌 Ejemplo:
Datos: 5, 8, 10, 12, 15
R = 15 – 5 = 10
Interpretación: Los datos se extienden en un rango de 10 unidades.
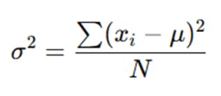
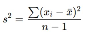
Varianza (σ² o s²)
Mide cuánto se alejan los datos de la media, pero lo hace considerando las diferencias al cuadrado para evitar valores negativos.
Fórmula para una población:

Fórmula para una muestra:

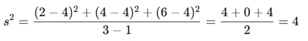
📌 Ejemplo sencillo:
Datos: 2, 4, 6
Media = 4

Varianza = 4
Desviación estándar (σ o s)
Es la raíz cuadrada de la varianza.
Expresa la dispersión en las mismas unidades que los datos originales, lo que la hace más fácil de interpretar.

📌 Ejemplo con los mismos datos:
Varianza = 4

Interpretación: En promedio, los datos se alejan 2 unidades de la media.
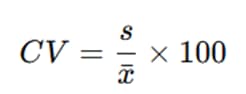
Coeficiente de variación (CV)
Es una medida relativa de dispersión que se obtiene dividiendo la desviación estándar entre la media.
Se expresa en porcentaje.

📌 Ejemplo con datos: 2, 4, 6
Media = 4
Desviación estándar = 2

Interpretación: La variabilidad representa el 50% de la media.
También esta disponible la guía de matemáticas para el examen del IPN 2025
Guia desarrollada de Matematicas para el examen del IPN
Prepárate de forma clara y organizada para tu examen al Instituto Politécnico Nacional 2025
Esta guía incluye explicaciones sencillas, ejemplos prácticos y ejercicios resueltos de los temas clave de matemáticas que suelen aparecer en el examen.
Diseñada para estudiantes de preparatoria, te ayudará a reforzar conocimientos, ahorrar tiempo de estudio y aumentar tu confianza el día de la prueba.
