Tema especifico para el examen de admisión del Instituto Politécnico Nacional (IPN) 2025
1.3.1 Medida de figuras y objetos
Medir significa comparar una magnitud con otra de la misma especie que se toma como unidad.
En matemáticas, las mediciones son fundamentales porque permiten cuantificar propiedades de las figuras y objetos, como su longitud, área, volumen, capacidad o masa.
Magnitudes y unidades de medida
Magnitudes fundamentales
Las magnitudes son propiedades que pueden medirse. Entre las más usadas en matemáticas están:
- Longitud → mide la distancia (ejemplo: la altura de una persona).
- Área → mide la extensión de una superficie (ejemplo: el piso de un salón).
- Volumen → mide el espacio ocupado por un cuerpo (ejemplo: una botella de agua).
- Capacidad → mide la cantidad que puede contener un recipiente (ejemplo: un vaso).
- Masa → mide la cantidad de materia de un cuerpo.
Unidades del Sistema Internacional (SI)
- Longitud: metro (m)
- Área: metro cuadrado (m²)
- Volumen: metro cúbico (m³)
- Capacidad: litro (L) (1 L = 0.001 m³)
- Masa: kilogramo (kg)
Nota: En la vida cotidiana también se usan múltiplos y submúltiplos como centímetros (cm), milímetros (mm), kilómetros (km), etc.
Medida de Figuras Planas (2D)

Las figuras planas se caracterizan por tener área y perímetro.
Perímetro
Es la suma de las longitudes de los lados de una figura.
Ejemplo:

Circunferencia del circulo
Para calcular la Circunferencia del círculo se utiliza la formula:

Donde:
D = Diámetro
r = radio


Área
Es la medida de la superficie de una figura.

Área del circulo
Para calcular el Área del círculo se utiliza la formula:

Donde:
D = Diámetro
r = radio

Medida de Sólidos (3D)
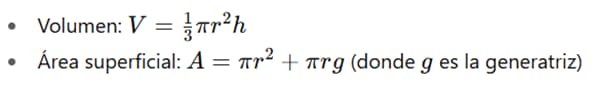
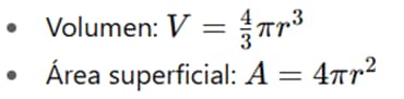
Los cuerpos geométricos poseen volumen y área superficial.
Prismas y paralelepípedos
- Volumen: V = Área de la base × altura
- Área superficial: suma de todas las caras.
Cubo

Cilindro

Cono

Esfera

Ejercicios de práctica
- Calcula el área de un triángulo de base 12 cm y altura 8 cm.
- Determina el volumen de un cilindro de radio 5 cm y altura 10 cm.
- Halla el perímetro de un rectángulo de lados 15 m y 8 m.
- Si una esfera tiene radio de 7 cm, ¿cuál es su volumen?
Próximo tema como lo marca la guía oficial para el examen del IPN 2025:
También esta disponible la guía de matemáticas para el examen del IPN 2025
Guia desarrollada de Matematicas para el examen del IPN
Prepárate de forma clara y organizada para tu examen al Instituto Politécnico Nacional 2025
Esta guía incluye explicaciones sencillas, ejemplos prácticos y ejercicios resueltos de los temas clave de matemáticas que suelen aparecer en el examen.
Diseñada para estudiantes de preparatoria, te ayudará a reforzar conocimientos, ahorrar tiempo de estudio y aumentar tu confianza el día de la prueba.
