La radicación es la operación inversa de la potenciación, es decir, en la radicación se encuentra la base a la que se tuvo que elevar para obtener el número dentro de la raíz.
Es decir, para obtener la raíz cuadrada de 4, necesitamos encontrar el número que tuvimos que elevar al cuadrado para obtener este 4. En este caso sencillo, sabemos que es 2, porque 22 es igual 4.
Elementos de la radicación
Los elementos de la raíz cuadrado son:

- El índice es el número que tenemos que elevar el resultado para obtener al radicando.
- El radicando es el número que obtenemos cuando elevamos el resultado por índice de la raíz.
- La raíz es el resultado de la radiación y es el número que tenemos que elevar al índice de la raíz para obtener el radicando.
OJO
Cuando se trata de una raíz cuadrada “se omite” el índice, es decir, no se coloca ningún número en el índice de la raíz.

PROPIEDADES GENERALES DE LA RADICACIÓN
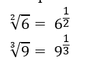
- Una raíz la podemos expresar como una potencia.

- Se puede omitir el índice en el caso de una raíz cuadrada.

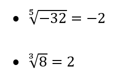
- Las raíces con índices par (2,4,6…) tienen dos resultados, uno positivo y otro negativo.

es decir, la raíz cuadrada de 6 puede ser 3 o -3, porque cualquiera de los dos números elevado al cuadrado nos da 6.
Ejemplos:

Tema siguiente →
Guía desarrollada para el examen ECOEMS 2026 UNAM IPN
El precio original era: $400.00.$350.00El precio actual es: $350.00.
- Quédate en alguna prepa o voca de la UNAM o del Poli estudiando con nuestra guía.
- Todos los temas desarrollados.
- Preguntas de simulación
- Asesoría personal por mail o whatsapp en caso de dudas.
- Confirmado por cientos de estudiantes que se quedaron en su prepa de elección.
