¿Qué es la energía cinética de un cuerpo?
La energía cinética de un cuerpo es la energía asociada a su movimiento. Se define como la energía que un objeto posee debido a su velocidad y su masa. Cuanto mayor sea la velocidad de un objeto y su masa, mayor será su energía cinética.
La energía cinética se puede calcular utilizando la fórmula:

La energía cinética es una forma de energía que puede transformarse en otras formas de energía o transferirse a otros objetos durante una colisión o interacción. Es una cantidad escalar, lo que significa que solo tiene magnitud y no dirección.
¿Qué es la energía potencial de un cuerpo?
La energía potencial de un cuerpo es una forma de energía que depende de la posición o configuración del cuerpo en relación con un campo de fuerza, como el campo gravitatorio o el campo eléctrico.
Se define como la capacidad que tiene un cuerpo para realizar trabajo debido a su posición o estado.
La energía potencial puede tomar diferentes formas según el tipo de campo de fuerza involucrado:
- Energía potencial gravitatoria: Es la energía asociada a la posición de un objeto en un campo gravitatorio. Depende de la altura del objeto sobre una superficie de referencia y se calcula como el producto del peso del objeto por la altura a la que se encuentra. Cuanto mayor es la altura, mayor es la energía potencial gravitatoria.
- Energía potencial elástica: Es la energía almacenada en un cuerpo deformable, como un resorte o una banda elástica, cuando se estira o comprime. Esta energía depende de la cantidad de deformación y de la constante elástica del material. Cuanto mayor es la deformación, mayor es la energía potencial elástica.
En resumen, la energía potencial de un cuerpo se refiere a la energía asociada a su posición o estado, y puede convertirse en energía cinética cuando el cuerpo se mueve o cambia de posición en el campo de fuerza.
La conservación de la energía mecánica: Un principio fundamental en la física
La conservación de la energía mecánica es un principio fundamental en la física que establece que la cantidad total de energía mecánica en un sistema cerrado permanece constante con el tiempo, siempre y cuando no haya ninguna fuerza externa no conservativa actuando sobre el sistema.
¿Qué es la energía mecánica?
La energía mecánica es la suma de la energía cinética y la energía potencial de un sistema.
La energía cinética está asociada al movimiento de un objeto y depende de su velocidad y masa, mientras que la energía potencial está asociada a la posición o configuración de un objeto en un campo de fuerza, como la gravedad.
Principio de conservación de la energía mecánica
Según el principio de conservación de la energía mecánica, en un sistema cerrado donde solo actúan fuerzas conservativas, como la gravedad o la elasticidad, la energía mecánica total del sistema se mantiene constante.
Esto significa que la energía cinética y la energía potencial pueden transformarse una en otra, pero la suma total permanece invariable.
Ejemplos de conservación de la energía mecánica
1. Caída libre de un objeto:
Cuando dejamos caer un objeto desde cierta altura, su energía potencial gravitatoria se convierte en energía cinética a medida que cae. Si ignoramos la resistencia del aire, la suma de la energía cinética y la energía potencial del objeto se mantiene constante.
2. Movimiento de un péndulo:
En un péndulo simple, la energía potencial gravitatoria en el punto más alto de su oscilación se convierte en energía cinética en el punto más bajo. A medida que el péndulo se balancea, la energía mecánica total se conserva.
Fíjate en la imagen siguiente:

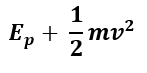
DEFINICIÓN FORMAL DE LA ENERGÍA MECÁNICA TOTAL DE UN CUERPO
Y definimos a la suma de la energía cinética más la energía potencial de un cuerpo como la “Energía Mecánica total de un cuerpo”.

Como vemos, la energía mecánica total de un cuerpo en una posición 1, es igual a la energía mecánica total de ese cuerpo en la posición 2.
A este principio se le conoce como “La conservación de la energía mecánica”.
FORMULA DE LA CONSERVACIÓN DE LA ENERGÍA MECÁNICA

EJEMPLOS:
1.- Una pelota de 2 kg se deja caer de un edificio. Cuando la pelota está a 5 metros del piso, esta tiene una velocidad de 20 m/s. Determina su energía mecánica en ese punto.

Preguntas clave del tema: La conservación de la energía mecánica
1. ¿Qué es la energía mecánica?
- La energía asociada al movimiento de partículas subatómicas.
- La energía asociada al movimiento de un objeto y su posición en un campo de fuerza.
- La energía almacenada en una batería.
- La energía producida por la combustión de un combustible.
2. ¿Cuál es el principio de conservación de la energía mecánica?
- La energía mecánica puede ser creada o destruida en un sistema cerrado.
- La energía mecánica de un sistema cerrado permanece constante si no hay fuerzas externas no conservativas.
- La energía mecánica siempre aumenta con el tiempo en un sistema cerrado.
- La energía mecánica solo se conserva en sistemas abiertos.
3. ¿Qué tipos de energía se suman para obtener la energía mecánica total de un sistema?
- Energía térmica y energía eléctrica.
- Energía cinética y energía potencial.
- Energía nuclear y energía electromagnética.
- Energía química y energía cinética.
4. ¿Qué ocurre con la energía mecánica total de un objeto en movimiento en ausencia de fuerzas externas no conservativas?
- Aumenta con el tiempo.
- Se convierte completamente en energía cinética.
- Permanece constante.
- Se convierte completamente en energía potencial.
5. ¿Cuál es un ejemplo de aplicación de la conservación de la energía mecánica?
- El funcionamiento de una batería.
- El movimiento de un péndulo.
- El calentamiento de una estufa eléctrica.
El vuelo de un avión.
Próximo tema: Cargas eléctricas y formas de electrización
Prepárate con la mejor guía de estudio desarrollada ECOEMS UNAM IPN 2025
-
Producto en ofertaGuía desarrollada para el examen ECOEMS 2026 UNAM IPNEl precio original era: $400.00.$350.00El precio actual es: $350.00.
