Funciones: dominio, campo de valores, evaluación, gráficas

Tema especial para el examen de la Universidad de Guadalajara (UdeG) 2025

Concepto de función

Una función es una relación matemática entre dos conjuntos, donde a cada elemento del dominio (entrada) le corresponde únicamente un valor en el codominio (salida).

En palabras sencillas: una función es como una “máquina” que recibe un valor, lo transforma siguiendo una regla y devuelve un resultado.

Se expresa como:

Ejemplo:

  • f(x) = 2x + 1
  • Si x = 3
  • f(3) = 2(3) + 1 = 7

La máquina recibe el 3 y devuelve el 7.

Elementos de una función

  • Dominio (D): conjunto de valores que puede tomar la variable de entrada (x).
  • Codominio (C) (también llamado Campo de valores): conjunto de valores posibles que puede tomar la salida.
  • Regla de correspondencia: la operación matemática que transforma la entrada en salida.
  • Imagen o Rango: valores que realmente produce la función al aplicar la regla.

Ejemplo:

La imagen sería:

Notación de funciones

Las funciones suelen escribirse como:

donde la letra identifica la función y la variable entre paréntesis es la entrada.

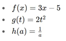
Ejemplo:

Representación de funciones

Las funciones pueden representarse de varias formas:

  1. Verbal: mediante una regla en palabras.
    1. “Multiplica el número por 2 y súmale 3”.
  2. Numérica (evaluación de funciones): con una tabla de valores.
  3. Gráfica: en el plano cartesiano, donde cada punto (x , f(x)) representa la función.
  4. Analítica: con una fórmula matemática.
    1. Ejemplo: y = f(x)

Evaluación de funciones

Evaluación puntual

La evaluación de funciones es el proceso donde le damos un valor a nuestra variable x y obtenemos el valor y correspondiente de la función:

Por ejemplo:

  • La función y = 2x
  • Si la evaluamos con el valor x=4
  • Obtenemos y = 2(4) = 8

Evaluación general

La evaluación general es el proceso cuando le vamos dando valores a nuestra variable independiente x, y después vamos obteniendo los valores y correspondientes.

Estos valores se pueden organizar en una tabla de valores.

Por ejemplo:

Construcción de la tabla de valores

Elegimos algunos valores de x:

Grafica de funciones

La grafica de funciones es el proceso mediante el cual asignamos puntos en el plano cartesiano de los valores obtenidos en la evaluación de una función.

Por ejemplo:

Construcción de la tabla de valores

Elegimos algunos valores de x:

Grafica de la función:

Tipos de funciones

Función lineal:

  • Se representa como una línea recta.
  • Viene de una ecuación línea o de grado 1

Ejemplo: f(x) = 2x+1

Función cuadrática:

  • su gráfica es una parábola.
  • Viene de una ecuación cuadrática o de segundo grado

Función constante:

  • no depende de x, siempre da el mismo valor.
  • Representa una línea horizontal

Función identidad:

  • devuelve el mismo valor de entrada.
  • Representa una línea inclinada a 45o

Función valor absoluto:

  • Devuelve cualquier valor (positivos o negativos) en solo positivos
  • Su gráfica forma una “V”.

Próximo tema según la guía oficial para el examen de la Universidad de Guadalajara (UdeG) 2025:

Funciones lineales, cuadráticas y exponenciales

Aquí puedes ver las guías de estudio desarrolladas para prepararte para el examen de la Universidad de Guadalajara (UdeG):

Guía de matemáticas para el examen de la Universidad de Guadalajara

El precio original era: $120.00.El precio actual es: $90.00.

Prepárate con esta guía desarrollada de matemáticas para el examen de la Universidad de Guadalajara 2025.

  • Todos los temas desarrollados con ejercicios y preguntas clave.
  • Asesoría personal vía Whatsapp en caso de dudas.
error: Este contenido esta protegido!!